【AbMole Physcion科研】果糖和代谢抑制对肝细胞癌的影响
肝细胞癌正迅速成为与癌症相关的死亡的主要原因之一,这在很大程度上是由于非酒精性脂肪肝疾病的发病率增加所致。这可能部分归因于果糖含量高的西餐。尽管许多研究显示了果糖对诱导与代谢相关的肝脏疾病的影响,但很少有研究研究果糖对肝癌代谢的影响。本研究旨在研究果糖在体外和体内对肝细胞癌生长的代谢作用。发现果糖可降低体外细胞生长,并引起丝氨酸甘氨酸合成和戊糖磷酸途径中涉及的酶表达变化。这些生物合成途径在癌细胞中非常活跃,它们利用糖酵解副产物产生能量和核苷酸来生长。因此,该研究进一步研究了两种抑制这些途径的新药的功效,即NCT-503和Physcion。该研究首次表明,NCT-503和Physcion的联合治疗可在体内外显着抑制肝细胞癌的生长。果糖饮食与抑制代谢药物的结合可以提供独特的代谢环境,从而有必要进一步针对肝细胞癌进行研究。

Physcion(AbMole,M4323,纯度 >98%)大承气汤的主要成分之一,用于治疗炎症。


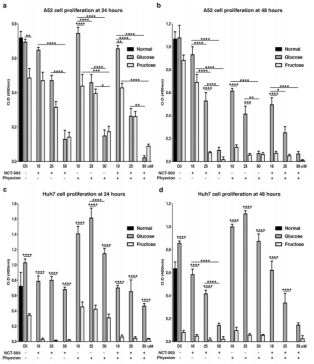
Figure 3. A52 and Huh7 cellproliferation with NCT-503 and Physcion.

体外实验结果表明,与24小时和48小时的对照组相比,用葡萄糖处理的A52细胞和浓度更高的NCT-503和Physcion(25和50μM)处理的细胞生长明显降低。在Physcion和葡萄糖的作用下,Huh7细胞的增殖增加,而联合治疗则类似于单独使用NCT-503时减少了生长。这说明,在存在Physcion和葡萄糖的情况下,Huh7肿瘤球数增加,而NCT-503显着降低了球体形成。

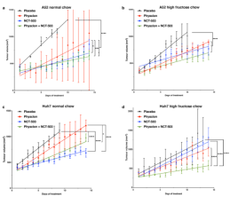
Figure 5. Efect of NCT-503 andPhyscion on glucose and fructose fed HCC tumour growth.
体内实验表明,在正常食物喂养的小鼠中,单独使用NCT-503和联合治疗组可显着抑制Huh7肿瘤的生长,而Physcion治疗组的生长与安慰剂相似。
来源:来宝网 原文:奥默生物技术(上海)有限公司

