单一纯相1T’-WSe2单层的分子束外延生长
1T'结构相的单元胞层二维过渡金属硫化物家族MX2(M = Mo,W; X = S, Se, Te)是一种理想的二维拓扑绝缘体材料,具有本征的量子自旋霍尔效应。如果再进一步引入磁性、超导等性质,这类材料有可能在马约拉纳费米子研究、拓扑量子计算等领域有着重要的前景。然而,虽然1T'-WTe2和1T'-MoTe2是一种稳定相,但其二维体相并不具有明显的体能隙。而1T'-WSe2和1T'-MoSe2又不是一种稳定相,其单一纯相的制备存在着极大的挑战。
南京大学张翼(点击查看介绍)课题组在利用分子束外延技术进行二维材料的高质量制备与物性调控方面有着深厚的积累:2019年,通过对石墨烯上生长的1T'-WSe2的相变过程进行研究,张翼课题组初步发现增强的界面作用能够提高1T'相的稳定性(Sci. Rep., 2019, 9, 2685)。受此启发,张翼课题组利用SrTiO3(100)作为衬底,通过增强的界面相互作用,成功生长出了稳定的单一纯相1T'-WSe2单层。结合扫描隧道显微镜表征和理论计算,发现SrTiO3衬底与外延薄膜的界面间距明显减小,界面相互作用明显变强,受此影响,其1T'相的形成能相对于2H相而言变得更小,进而能够形成稳定的、单一结构相的1T'-WSe2薄膜(图1)。同时,由于界面作用的增强导致其面内晶格受到的明显的压缩,进而使其拓扑能隙变为负值,产生从拓扑绝缘体到拓扑半金属的相转变,理论计算结果与角分辨光电子光电子能谱结果能够较好地吻合(图2)。计算结果表明,如果能够施加面内的张应力,可以使得1T'-WSe2的拓扑能隙进一步增大,更有利于量子自旋霍尔效应的产生。因此,作者计划进一步通过寻找能够施加张应力的衬底来实现稳定的大拓扑能隙1T'-MX2的高质量外延生长。

图1. (a) 生长在SrTiO3衬底上的1T'-WSe2晶体结构模型;(b) 1T'相和2H相的形成能比较;(c) 1T'-WSe2薄膜样品的高能电子衍射图;(d-f) 1T'-WSe2薄膜的扫描隧道显微镜图。


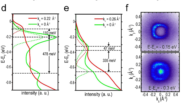
图2 (a & d). 生长在石墨烯上的1T'-WSe2的角分辨光电子能谱;(b, c, e, f). 生长在SrTiO3上的纯相1T'-WSe2的角分辨光电子图。
该项工作由多个团队合作完成。张翼课题组主要负责课题构思、材料外延生长、扫描隧道显微镜和角分辨光电子能谱表征;香港科技大学刘军伟课题组负责相关的理论计算工作;苏州纳米技术与纳米仿生研究所李坊森等人利用Nano-X真空互联装置对样品进行了多项表征工作;南京大学奚啸翔课题组对样品进行了拉曼表征。该成果以在线发表在Advanced Materials 上,南京大学博士生陈望为论文的第一作者,南京大学张翼教授和香港科技大学刘军伟副教授为共同通讯作者。南京大学为论文的第一单位。
该工作得到了国家重点研发计划、国家自然科学基金委、江苏省“双创计划”、香港研究资助局(Research Grants Council (RGC) of Hong Kong, China)的经费支持。该工作同时还得到了南京大学固体微结构物理国家重点实验室、人工微结构科学与技术协同创新中心的大力支持。
来源:X-MOL

